Herb Gminy Limanowa Oficjalny serwis
Gminy Limanowa

Informacja PKP Polskie Linie Kolejowe S.A dotycząca procesu wypłaty odszkodowań

13.04.2024
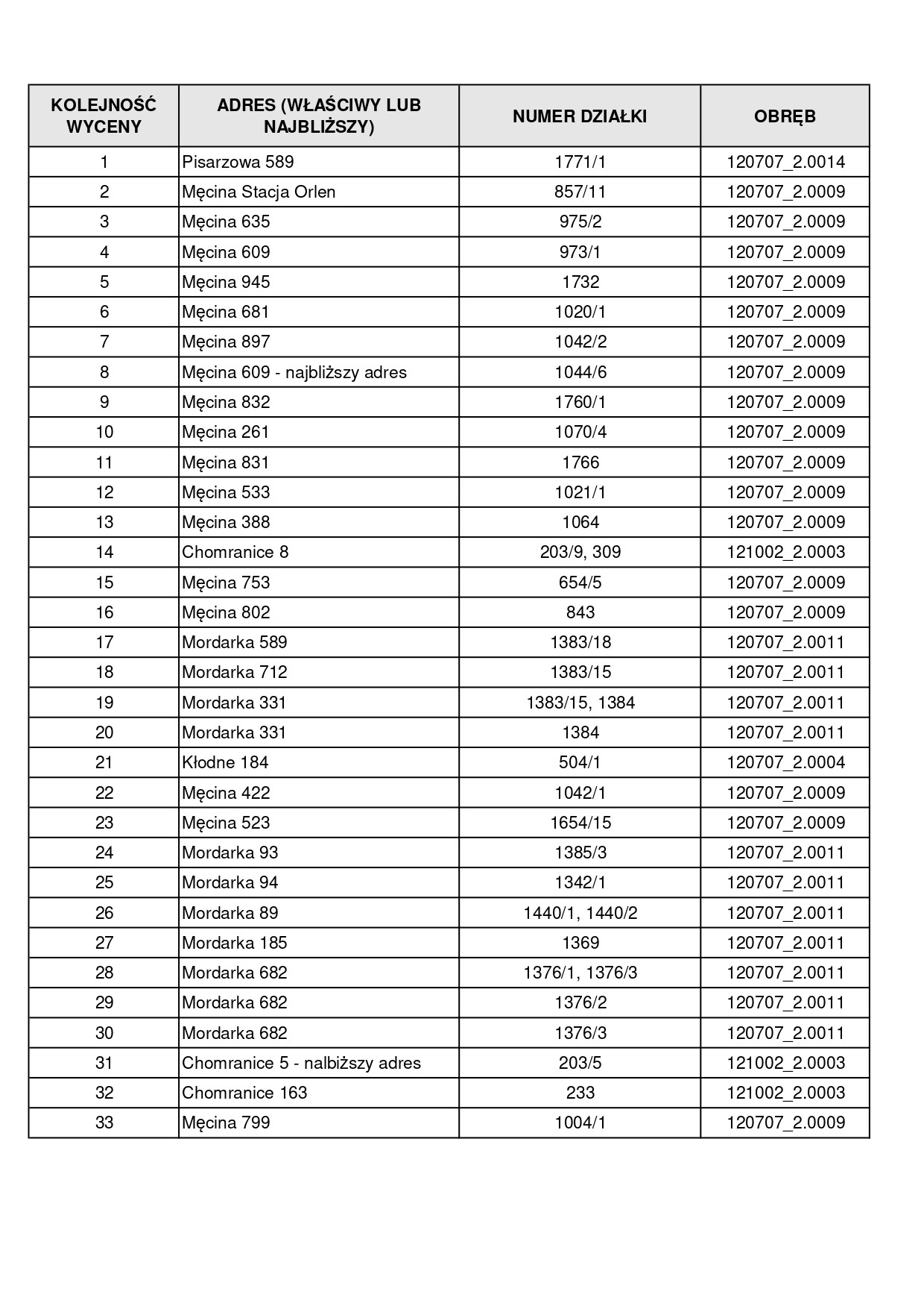
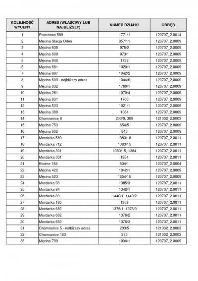
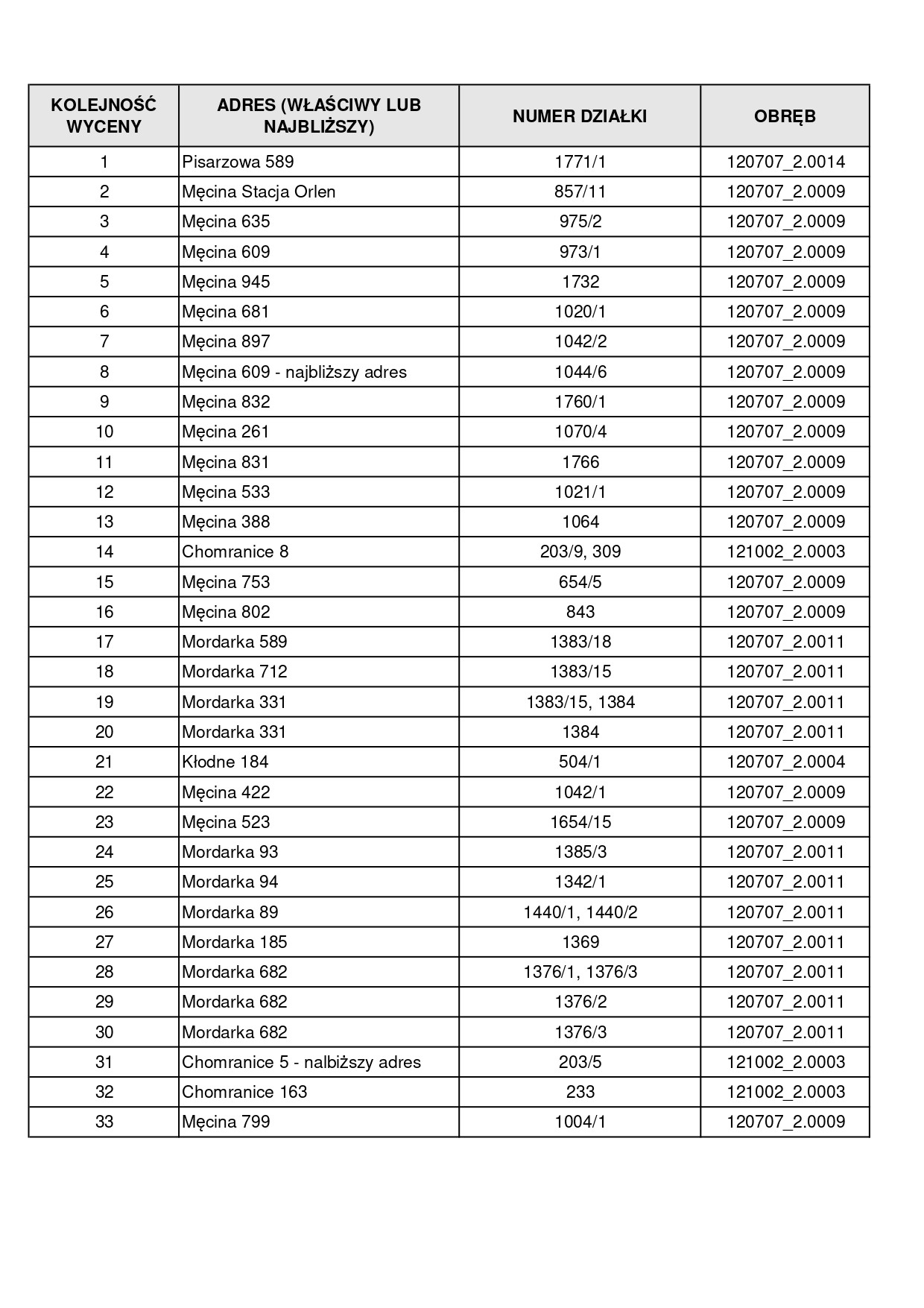
Przedstawiamy Państwu informację, otrzymaną od PKP Polskie Linie Kolejowe S.A, dotyczącą procedur wypłat odszkodowań oraz wykupu "resztówek' gruntów od mieszkańców objętych realizacją zadania „Zaprojektowanie ( w zakresie branży SRK) i kompleksowe wykonanie robót budowlanych na linii kolejowej104 na odcinku D Limanowa - bocznica Klęczany".
Pismo oraz dokumentacja  w załącznikach poniżej.

Wybrane informacje na temat procesu wypłaty odszkodowań:

1. Za przejmowane nieruchomości właścicielowi przysługuje odszkodowanie. Jego wysokość ustala Małopolski Urząd Wojewódzki.

2. Wysokość odszkodowania ustalana jest w oparciu o wycenę rzeczoznawcy majątkowego.

3. Właściciel nieruchomości będzie mieć możliwość zapoznania się z wyceną rzeczoznawcy. Zawiadomienie otrzyma z Małopolskiego Urzędu Wojewódzkiego. W terminie 7 dni od dnia jego odebrania można zgłosić zastrzeżenia i uwagi.

4. Wraz z zawiadomieniem właścicielowi zostanie przesłany formularz. Jego wypełnienie jest niezbędne do wypłaty odszkodowania. Należy go odesłać na adres: PKP Polskie Linie Kolejowe S.A., Centrum Realizacji Inwestycji Region Południowy, Zespół Projektu IRR3/7, ul. Kolejowa 27, 33-300 Nowy Sącz.

Wszelkie pytania dotyczące formularza należy kierować do inwestora (tel.: 18 535 14 23, tel. kom. 797 556 072).

5. Decyzję o wysokości odszkodowania wydaje Małopolski Urząd Wojewódzki. Można się od niej odwołać. Odwołanie należy skierować do Ministra Rozwoju i Technologii za pośrednictwem Małopolskiego Urzędu Wojewódzkiego. Właściciel ma na to 14 dni od odbioru decyzji.

6.W przypadku wniesienia odwołania istnieje możliwość wypłaty zaliczki, która wynosi 70 proc. ustalonego w decyzji odszkodowania. Wypłata zaliczki następuje na wniosek, który należy złożyć na adres: PKP Polskie Linie Kolejowe S.A., Centrum Realizacji Inwestycji Region Południowy, Zespół Projektu IRR3/7, ul. Kolejowa 27, 33-300 Nowy Sącz. Zaliczka wypłacana jest w terminie 30 dni od dnia złożenia wniosku.

7. Złożenie odwołania od decyzji odszkodowawczej nie wstrzymuje działań związanych z przejmowaniem nieruchomości na cele inwestycji kolejowej i realizacji prac budowla






Liczba wyświetleń: 3872
2

Galeria

Aktualności
Inne
Kultura
Oświata
Sport i turystyka
Biznes
Widżet Dostępności
Rozmiar Tekstu
1 Rozmiar Tekstu
Ustawienia tekstu
1 Odstęp między wierszami
1 Odstęp między paragrafami
1 Odstęp między literami
1 Odstęp między słowami
Czytelność tekstu
Wyrównanie tekstu
Filtry
Pomocne